4.5 BIAS PEMBAGI TEGANGAN 

1. Tujuan

 - Untuk memahami tentang konfigurasi bias pembagi tegangan

 - Untuk mengetahui cara menganalisis konfigurasi bias pembagi tegangan

Battery    

Fungsi : Sebagai sumber arus listrik dengan menyimpan energi potensial listrik

Spesifikasi : VCC

 
 
Capasitor

Fungsi : Untuk menyimpan muatan listrik

Spesifikasi : C

 
NPN

Spesifikasi : sebagai amplifier

Spesifikasi : Q4 NPN

 
Resistor

Fungsi : Sebagai penghambat arus listrik

Spesifikasi : R

 
Generator DC

Fungsi : Untuk mengubah energi mekanik menjadi energi listrik DC

 

Ground 
Fungsi : Sebagai penghantar arus listrik ke tanah

3. Dasar Teori

Dalam konfigurasi bias sebelumnya IC arus bias Q tegangan VCEQ adalah fungsi dari penguatan arus () dari transistor. Namun, karena sensitif terhadap suhu, terutama untuk transistor silikon, dan nilai beta yang sebenarnya biasanya tidak baik didefinisikan, akan diinginkan untuk mengembangkan sirkuit bias yang kurang bergantung, atau dalam

 
  
Bahkan, tidak bergantung pada transistor beta. Konfigurasi bias pembagi tegangan pada Gambar.4.25 adalah jaringan seperti itu. Jika dianalisis secara tepat kepekaan terhadap perubahan beta cukup kecil. Jika parameter rangkaian dipilih dengan benar, level IC yang dihasilkan Q dan VCE Q hampir sepenuhnya tidak bergantung pada beta. Ingat kembali diskusi sebelumnya bahwa titik-Q ditentukan oleh level IC yang tetap Q dan VCEQ seperti yang ditunjukkan pada Gambar 4.26. Itu tingkat IB Q akan berubah dengan perubahan beta, tetapi titik operasi pada karakteristik ditentukan oleh IC Q dan VCEQ dapat tetap diperbaiki jika parameter rangkaiannya tepat dipekerjakan. 
 
Seperti disebutkan di atas, ada dua metode yang dapat diterapkan untuk menganalisis konfigurasi pembagi tegangan. Alasan pemilihan nama untuk konfigurasi ini akan menjadi jelas dalam analisis selanjutnya. Yang pertama didemonstrasikan adalah yang tepat metode yang dapat diterapkan ke konfigurasi pembagi tegangan apa pun. Metode kedua disebut sebagai metode perkiraan dan hanya dapat diterapkan jika kondisi tertentu puas. Pendekatan perkiraan memungkinkan analisis yang lebih langsung dengan penghematan dalam waktu dan energi. Ini juga sangat membantu dalam mode desain yang akan dijelaskan di bagian selanjutnya. Secara keseluruhan, pendekatan perkiraan dapat diterapkan pada mayoritas situasi dan karena itu harus diperiksa dengan minat yang sama seperti yang sebenarnya metode.
  
Analisis Tepat 
 
Sisi masukan dari jaringan pada Gambar 4.25 dapat digambar ulang seperti yang ditunjukkan pada Gambar 4.27 untuk analisis dc. Jaringan setara Thévenin untuk jaringan di sebelah kiri terminal dasar kemudian dapat ditemukan dengan cara berikut:
 
  
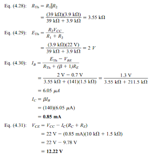
RTh: Sumber tegangan diganti dengan ekuivalen hubung singkat seperti yang ditunjukkan pada Gambar 4.28.
 

 
ETh: Sumber tegangan VCC dikembalikan ke jaringan dan sirkuit terbuka Tegangan voltase pada Gambar 4.29 ditentukan sebagai berikut: 
 
Menerapkan aturan pembagi tegangan:
 
 
  
Jaringan Thévenin kemudian digambar ulang seperti yang ditunjukkan pada Gambar 4.30, dan IBQ dapat ditentukan dengan terlebih dahulu menerapkan hukum tegangan Kirchoff searah jarum jam untuk lingkaran ditunjukkan:
  
Mengganti IE (1) IB dan menyelesaikan hasil IB
 
 
  
Meskipun Persamaan. (4.30) awalnya tampak berbeda dari yang dikembangkan sebelumnya,
perhatikan bahwa pembilangnya lagi-lagi merupakan perbedaan dari dua level tegangan dan 
penyebutnya adalah resistansi dasar ditambah resistor emitor yang dipantulkan oleh (1) -
tentu sangat mirip dengan Persamaan. (4.17). Setelah IB diketahui, jumlah jaringan yang 
tersisa dapat ditemukan di cara yang sama seperti yang dikembangkan untuk konfigurasi 
bias-emitor. Itu adalah,
 
   
yang persis sama dengan Persamaan. (4.19). Persamaan yang tersisa untuk VE, VC, dan VB 
juga sama seperti yang diperoleh untuk konfigurasi bias emitor.
 
1. Example 4.7
 

Tentukan tegangan bias dc VCE dan IC arus untuk konfigurasi pembagi tegangan pada 
Gambar 4.31.
 
Jawab :
 
2. Example 4.9
Ulangi analisis yang tepat dari Contoh 4.7 jika dikurangi menjadi 70, dan bandingkan solusi 
untuk IC Q dan VCEQ.
 
Jawab :
 
Contoh ini bukanlah perbandingan metode tepat versus metode perkiraan tetapi pengujian dari seberapa banyak titik-Q akan bergerak jika level dipotong menjadi dua. RTh dan ETh 
adalah sama:
 

5. Problem
1.
Tentukan IC dan VCE untuk jaringan Gambar 4.80.
 

2.
Ubah menjadi 120 (peningkatan 50%), dan tentukan nilai baru IC dan VCE untuk jaringan
 dari Gambar 4.80.
 
 
 
1. Diketahui sebuah rangkaian bias pembagi tegangan, Dengan  R1 = 6 K?, R2 = 2 K?, 
Rc =1,5 K?, Re = 200 ? dan VCC = 30 Volt. Berapa besarnya arus kolektor ? 
 
a. 0,034 mA
 
b. 0,34 mA
 
c. 34 mA 
    d. 34 A
    e. 35 A
2. Rangkaian prategangan transistor dimana basisnya dihubungkan diantara 2 buah tahanan 
    seri adalah rangkaian :
a. Prategangan basis 
 
b. Prategangan pembagi tegangan 
c. Prategangan emiter 
 
d. Prategangan umpan-balik kolektor
e. Prategangan basis-emitor 
 
- Prosedur Percobaan
  • Siapkan komponen yang dibutuhkan
  • Letakkan semua komponen sesuai foto di bawah 
  • Selanjutnya, hubungkan semua komponen yang telah diletakkan 
  • Setelah semua komponen tersusun dan terhubung 
  • Jalankan simulasi rangkaiannya 
- Foto Rangkaian Simulasi 
 

- Prinsip Kerja 
 
Cara kerja dari rangkaian bias pembagi tegangan. Pertama, arus akan dialirkan dari sumber 
 
tegangan berupa Battery atau Generator DC menuju Resistor yang mana terjadi penurunan 
tegangan terhadap arus yang melewatinya. Setelah itu, arus diteruskan menuju transistor. 
 
Agar transistornya aktif diperlukan tegangan 0,6V-0,8V. Terakhir, arus diteruskan ke 
 
Capasitor dan Generator DC dan arus juga diteruskan pada base kaki transistor menuju 
 
Ground.
- Video Simulasi Rangkaian
 

 
- Download HTML disini
   
- Download Foto Komponen Rangkaian Simulasi disini

- Download File Rangkaian Simulasi disini

- Download Foto Rangkaian Simulasi disini

- Download Video Simulasi Rangkaian disini

 - Download Semua Datasheet disini

Tidak ada komentar:

Posting Komentar

                    ELEKTRONIKA OLEH: Ferry Zilfandi 2010952051 Dosen Pengampu: Darwison,MT Referensi: ...